www.elektronik.si Seznam forumov www.elektronik.si
Forum o elektrotehniki in računalništvu
 
 PomočPomoč  IščiIšči  Seznam članovSeznam članov  SkupineSkupine  StatisticsStatistika  AlbumAlbum  DatotekeFilemanager DokumentacijaDocDB LinksPovezave   Registriraj seRegistriraj se 
  PravilaPravila  LinksBolha  PriponkePriponke  KoledarKoledar  ZapiskiZapiski Tvoj profilTvoj profil Prijava za pregled zasebnih sporočilPrijava za pregled zasebnih sporočil PrijavaPrijava 

Pomoč pri reševanju DN

 
Objavi novo temo   Odgovori na to temo   Printer-friendly version    www.elektronik.si Seznam forumov -> Naloge, izpiti, seminarske
Poglej prejšnjo temo :: Poglej naslednjo temo  
Avtor Sporočilo
priesteye
Član
Član



Pridružen-a: Sre 26 Mar 2008 16:54
Prispevkov: 121
Aktiv.: 0.55
Kraj: Pirniče

PrispevekObjavljeno: Čet Nov 18, 2010 1:37 am    Naslov sporočila:  Pomoč pri reševanju DN Odgovori s citatom

Živijo
rešujem domačo nalogo za elektrotehniko in se mi je ustavilo samo pri eni nalogi in to je:
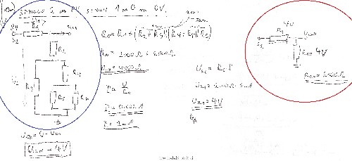
Določi vrednost R2 shema je pa na sliki:
Ne vem kaj naj naredim z enačbami, ali moram kakšni enačiti in potem kaj pokrajšati, nekako sem probal rešiti tako, da sem probal z dvema ločenima enačbama izraziti I, probal sem z I2, z I1, nakoncu dobim nesmisle kot so:

-1551=R2(11415+33*R2)

Prosim če mi nekdo lahko razloži postopek, da bi tole rešil.. Anxious



DN_1_SerPar_7Nalog_Page_4.jpg
 Opis:
 Velikost datoteke:  78.66 KB
 Pogledana:  16 krat

DN_1_SerPar_7Nalog_Page_4.jpg


Nazaj na vrh
Odsoten Poglej uporabnikov profil Pošlji zasebno sporočilo
lojzek
Član
Član



Pridružen-a: Pet 25 Jan 2008 8:00
Prispevkov: 3407
Aktiv.: 15.35

PrispevekObjavljeno: Čet Nov 18, 2010 7:54 am    Naslov sporočila:   Odgovori s citatom

Osnovna predpostavka- Kirchoffova zakona: napetost na paralelnih upornostih je enaka, tok skozi zaporedne upornosti je enak. Torej je potrebno dobiti napetost na paralelni vezavi uporov.

Označil sem si jih takole: R1= 47ohm, R2=x, R3=33ohm. Glede na upore so označeni tudi tokovi in napetosti.
Glede na prejšnjo točko tudi velja U1=U2 in I3=I1+I2

Izračun:
Koda:

U1= 220 – U3
U1= 220 – 33×(I1+I2)
U1= 220 – 33×I1 – 66
47×I1 = 220 – 33×I1 – 66
47×I1 = 154 – 33×I1
80×I1= 154
I1 = 1,925A

U1 = R1 × I1
U1 = 47 × 1,925 = 90,475V

U1=U2
R2 = U1 / I2
R2 = 90,475 / 2 = 45,23ohm


Ni bila tako lahka za zjutraj. Sem zelo zarjavel, že dolgo nisem računal. Čeprav sem mislil, da bo nekako bolj okrogel rezultat. Pa upam, da nisem narobe rešil.

Sem pa tako na dolgo reševal, da upam na večjo razumljivost.
Nazaj na vrh
Odsoten Poglej uporabnikov profil Pošlji zasebno sporočilo
priesteye
Član
Član



Pridružen-a: Sre 26 Mar 2008 16:54
Prispevkov: 121
Aktiv.: 0.55
Kraj: Pirniče

PrispevekObjavljeno: Čet Nov 18, 2010 10:52 am    Naslov sporočila:   Odgovori s citatom

Ej ful hvala Smile zdej ko vidim je res u easy ampak ja, po bitki je lahko usak general Very Happy
Nazaj na vrh
Odsoten Poglej uporabnikov profil Pošlji zasebno sporočilo
protoncek
Član
Član



Pridružen-a: Sre 31 Jan 2007 9:41
Prispevkov: 9573
Aktiv.: 40.92
Kraj: Mengeš

PrispevekObjavljeno: Čet Nov 18, 2010 2:44 pm    Naslov sporočila:   Odgovori s citatom

tole mi je sumljivo---ne more biti pri paralelni vezavi tok skozi VEČJI upor večji od tistega, ki teče čez MANJŠI upor - namreč tok čez 47 ohmov je 1.92A, tok čez izračunani upor 45.23 pa samo 1 A...a ni v tretji vrstici napaka - odkod dobiš -66 ?
Nazaj na vrh
Skrit Poglej uporabnikov profil Pošlji zasebno sporočilo Obišči avtorjevo spletno stran
priesteye
Član
Član



Pridružen-a: Sre 26 Mar 2008 16:54
Prispevkov: 121
Aktiv.: 0.55
Kraj: Pirniče

PrispevekObjavljeno: Čet Nov 18, 2010 2:53 pm    Naslov sporočila:   Odgovori s citatom

Vzel je da je I2 = 2A, na shemi je nečitljivo napisano katera vrednost je, zato sem naredil pri DN kar obe, pa naj se profesor malo zamisli kako piše.
Nazaj na vrh
Odsoten Poglej uporabnikov profil Pošlji zasebno sporočilo
protoncek
Član
Član



Pridružen-a: Sre 31 Jan 2007 9:41
Prispevkov: 9573
Aktiv.: 40.92
Kraj: Mengeš

PrispevekObjavljeno: Čet Nov 18, 2010 2:55 pm    Naslov sporočila:   Odgovori s citatom

aha...v tem primeru je pa bolje.
Nazaj na vrh
Skrit Poglej uporabnikov profil Pošlji zasebno sporočilo Obišči avtorjevo spletno stran
Eisenhorn
Član
Član



Pridružen-a: Tor 08 Dec 2009 11:50
Prispevkov: 200
Aktiv.: 1.00
Kraj: LJ

PrispevekObjavljeno: Čet Nov 18, 2010 3:04 pm    Naslov sporočila:   Odgovori s citatom

Pravilni izračun gre takole:
Koda:

U1= 220 – U3
U1= 220 – 33×(I1+I2)
U1= 220 – 33×I1 – 66
47×I1 = 220 – 33×I1 – 33
47×I1 = 187 – 33×I1
80×I1= 187
I1 = 2,3375A

U1 = R1 × I1
U1 = 47 × 2,3375 = 109,8625

U1=U2
R2 = U1 / I2
R2 = 109,8625 / 1 = 109,8625ohm


Predvidevam da je lojzek narobe prebral vrednost toka I2 iz slike, ki je 1A.
Nazaj na vrh
Odsoten Poglej uporabnikov profil Pošlji zasebno sporočilo
Eisenhorn
Član
Član



Pridružen-a: Tor 08 Dec 2009 11:50
Prispevkov: 200
Aktiv.: 1.00
Kraj: LJ

PrispevekObjavljeno: Čet Nov 18, 2010 3:05 pm    Naslov sporočila:   Odgovori s citatom

Ni gumbka edit, sta me prehitela... Wink
Nazaj na vrh
Odsoten Poglej uporabnikov profil Pošlji zasebno sporočilo
priesteye
Član
Član



Pridružen-a: Sre 26 Mar 2008 16:54
Prispevkov: 121
Aktiv.: 0.55
Kraj: Pirniče

PrispevekObjavljeno: Čet Nov 18, 2010 3:12 pm    Naslov sporočila:   Odgovori s citatom

Takšen rezultat sem tudi sam dobil Smile vseeno hvala oba Very Happy
Nazaj na vrh
Odsoten Poglej uporabnikov profil Pošlji zasebno sporočilo
ljudsko
Član
Član



Pridružen-a: Pon 31 Mar 2008 8:19
Prispevkov: 1184
Aktiv.: 5.39
Kraj: Koroška-Mežica

PrispevekObjavljeno: Čet Nov 18, 2010 3:48 pm    Naslov sporočila: icon_funny  Odgovori s citatom

Še malo bolj na dolgo:

Citiram:

U=220V
R1=47ohm
R3=33ohm
I2=2A
------------
R2=?

Sklepi:
I1+I2=I3
U1=U2
U1+U3=U
--------------------------

Izračuni:

U=U3+U1
220V=I3*33ohm+I1*47ohm
220V=(I1+2A)*33ohm+I1*47ohm
220V=33ohm*I1+66+47*I1
220V=80*I1+++
80*I1=220-66
80*I1=154
I1=154/80
I1=1.925A

I3=I1+I2
I3=1.925A+2A
I3=3.925A

U3=I3*R3
U3=3.925A*33ohm
U3=129.525V

U12=220V-129.525V
U12=90.475V

R2=U12/2
R2=90.475V/2A
R2=45.2375ohm






Tak postopek bi verjetno vzeli pri matematiki

_________________
return;
brake;
Nazaj na vrh
Odsoten Poglej uporabnikov profil Pošlji zasebno sporočilo Pošlji E-sporočilo
lojzek
Član
Član



Pridružen-a: Pet 25 Jan 2008 8:00
Prispevkov: 3407
Aktiv.: 15.35

PrispevekObjavljeno: Čet Nov 18, 2010 9:23 pm    Naslov sporočila:   Odgovori s citatom

Very Happy no saj sem rekel da je bila zgodnja ura, ko sem reševal. Med prvo kavico. Potem pa računa slikat nisem mogel (nisem aparata imel) in sem ga moral pretipkat. Pa šele sedaj, ko je tisto o enem ali dveh amperih debata nastala, sem resno pogledal kaj piše. In še vedno mi je bolj podobno 2amperom. V glavnem, če mlad možakar zna zračunat (upam da), je vsaj postopek prebral. Številke pri tem niso pomembne.
Nazaj na vrh
Odsoten Poglej uporabnikov profil Pošlji zasebno sporočilo
priesteye
Član
Član



Pridružen-a: Sre 26 Mar 2008 16:54
Prispevkov: 121
Aktiv.: 0.55
Kraj: Pirniče

PrispevekObjavljeno: Pet Nov 26, 2010 6:28 pm    Naslov sporočila:   Odgovori s citatom

Še nekaj me zanima in sicer ali sem prav zastavil in tudi rešil sledečo nalogo
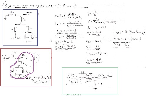
1) Za prvi primer sem moral izračunati kolikšna je izhodna napetost ko je stikalo 2 vezano na 8V (se pravi sklenjeno)
Citiram:
Reševal sem tako, da sem ugotovil kateri upori so si vzporedni in kateri zaporedni, mislim da tukaj ni bilo napak.
Glej sliko 2
se pravi ugotovil kako so upori postavljeni (obkroženo z modro), nato izračunal nadomestne upornosti (obkroženo z rdečo)
Ker sta si R1 in Rn vzporedna, me zanima samo padec napetosti na R1 uporu, in iz tega dobim da je izhodna napetost 4V (8V-4V)


2) za drugi primer sem moral izračunati izhodno napetost ko je stikalo 1 vezano na 8V stikali 2 in 0 pa na 0V
Citiram:
Ponovno reševal tako, da sem ugotovil kako so postavljeni upori, tukaj je bilo že malo težje
Glej sliko 3
Ugotovil kako so upori postavljeni, obkroženo z modro iz tega ugotovil naslednjo postavitev obkroženo z rdečo in nato še obkroženo z zeleno. Izračunal sem padec napetosti na zaporednih dveh uporih in dobil napetost v vozlišču, ki je 2V.
Ampak tukaj je pa težava, kot vidite imam (če pogledate območje obkroženo z zeleno imam pred sponko, kjer naj bi meril Izhodno napetost še en upor (R1R2), na katerem ni padca napetosti, ker skozi ne teče tok (skozi ostale upore teče neki tok, saj so vezani na "ozemljitev" kajne?), se pravi izmerjena napetost je 2V, ampak, če bi na sponko priklopil nek porabnik, ki bi povzročil, da začne tok teči, pa izmerjena napetost ne bi bila več 2V kajne?
Postavitev v zelenem okvirčku sem dobil tako, da sem upore obkrožene z vijolično barvo, jemal kot vezava trokot, ki sem jo nato pretvoril v zvezdo.
Ali je ta postopek pravilen?

Rešitve, ki sem jih dobil, sem preveril z programom Circuit Design Suite 10.0 Multisim in so vse pravilne, zanima me ali so moja "predvidevanja" in postopki reševanja pravilni?

Hvala za odgovore Smile

LP



1.jpg
 Opis:
Dano vezje
 Velikost datoteke:  184.9 KB
 Pogledana:  5 krat

1.jpg



2.jpg
 Opis:
Prvi primer (slika 2)
 Velikost datoteke:  385.96 KB
 Pogledana:  8 krat

2.jpg



3.jpg
 Opis:
Drugi primer (slika 3)
 Velikost datoteke:  465.87 KB
 Pogledana:  7 krat

3.jpg


Nazaj na vrh
Odsoten Poglej uporabnikov profil Pošlji zasebno sporočilo
Pokaži sporočila:   
Objavi novo temo   Odgovori na to temo   Printer-friendly version    www.elektronik.si Seznam forumov -> Naloge, izpiti, seminarske Časovni pas GMT + 2 uri, srednjeevropski - poletni čas
Stran 1 od 1

 
Pojdi na:  
Ne, ne moreš dodajati novih tem v tem forumu
Ne, ne moreš odgovarjati na teme v tem forumu
Ne, ne moreš urejati svojih prispevkov v tem forumu
Ne, ne moreš brisati svojih prispevkov v tem forumu
Ne ne moreš glasovati v anketi v tem forumu
Ne, ne moreš pripeti datotek v tem forumu
Ne, ne moreš povleči datotek v tem forumu

Uptime: 232 dni


Powered by phpBB © 2001, 2005 phpBB Group